Useful Papers/Articles
- On-Policy Distillation (from Thinking Machine) Link
- On-Policy Distillation of Language Models: Learning from Self-Generated Mistakes Link
Abstract
Training Stages
- Pre-training: teaches general capacities such as language use, broad reasoning, and world knowledge.
- Mid-training: imparts domain knowledge, such as code, medical databases, or internal company documents.
- Post-training: elicits targeted behavior, such as instruction following, reasoning through math problems, or chat.
所以说看起来专业知识的注入被归纳为Mid-training的部分了?感觉在做Pre-training的时候,如果数据集覆盖面本身已经比较强,那就是已经包含了Mid-training。但是如果是面对一个新的domain,我是否有可能在post-training之后再次通过mid-training注入domain-specific knowledge?我有些猜测:
- Mid-training并不需要很干净的文本,可以是比较嘈杂的包含知识的数据。因此,如果在post-training之后看起来没法直接做这样的训练,不然有可能会破坏instruction-following的能力。
- 我有点怀疑如果Post-training数据量太大的话,这个Mid-training中注入的某些知识可能会被遗忘了,或者说很难被引发。
- 所以解决的方案应该是,要不构建一个高质量的post-training专业知识训练集,要不就另辟蹊径(知识蒸馏之类的)。
On/Off-Policy KD
| KD Type | Mechanism | Method |
|---|---|---|
| On-Policy KD | Teacher does, Student learns | Teacher Trajectory/Logits |
| Off-Policy KD (GKD) | Student does, Teacher corrects | Logits |
KL Divergences
- Forward KL (mode-coverage): $D_{KL}(P||Q_\theta)=\sum_{c\in C}P(c)\log\frac{P(c)}{Q_\theta(c)}$
- Reverse KL (mode-seeking): $D_{KL}(Q_\theta||P)=\sum_{c\in C}Q_\theta(c)\log\frac{Q_\theta(c)}{P(c)}$
where $P(C)$ is the empirical distribution, $Q_\theta(C)$ is the model distribution.
Forward KL会惩罚P有mass但是Q没有mass的情况,因此相当于Q需要“全面模仿”P的分布;而Reverse KL只关注Q有mass的情况,因此只要对于Q分布下的峰值和P的峰值重合,这个KL就会很小,所以被视作mode-seeking。
放到token prediction的视角,做logit-based KD:如果我们用Forward KL作为loss,那学生模型必须要学会teacher model的logits,哪怕teacher model对某些token只赋予了比较小的比重,也需要学习;而如果采用Reverse KL的话,那我们可能只关注top-1~N个token,在大多数情况下其实就是top1(logit最大的)token,也就是学生模型只要能够和教师模型在greedy模式下表现一致就可以。
Q:我也不是很清楚一般蒸馏的时候,到底teacher model的temperature如何设置?以及应该采用哪种KL?
KL Divergence Unbounded Problem
为什么KL Divergence是unbounded?
- KL Divergence本身是不symmetric的: $D_{KL}(P||Q_\theta) \neq D_{KL}(Q_\theta||P)$
- 根据定义,是可能存在分母为0,分子>0的情况,这样使得log项∞了。(Unbounded)
- 如果要使用KLD作为loss,这种unbounded情况很容易出现,会导致训练发散(loss=NaN/inf)或者梯度爆炸。
解决方案:JSD

Generalized KD (GKD)
Baselines:
- Supervised FT (SFT): 纯SFT,不需要任何teacher model
- Sequence-Level KD (SeqKD): 标准Offline KD,相当于在Teacher outputs上做SFT
- Supervised KD: Logit-based KD,用Teacher outputs来计算KL: $L_{SD}(\theta)=\mathbb{E}{(x,y)\sim(X,Y)}[\mathcal{D}{KL}(p_T||p^{\theta}_S)(y|x)]$
(这篇论文最后的蒸馏是根据T5做的,所以没有涉及到Zero/Few-shot这类问题)
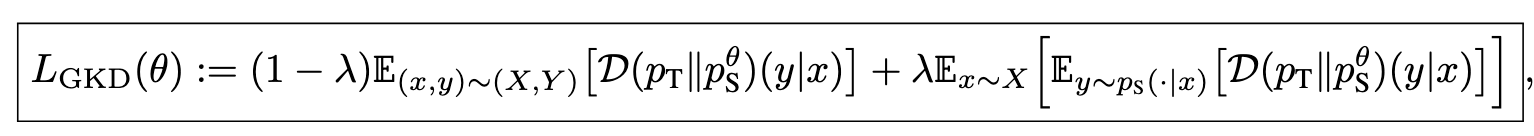
Formula & Algorithm

- 第一部分其实类似于Offline的Supervised KD (基于Teacher Outputs)
- 第二部分是提出的on-policy KD,基于Student Outputs的

- 其实是分批的,用一个random value来控制学习模式。
- 其实并不是说对于同一个sample同时进行两种模式的学习
- 缓解了之前SKD train-inference discrepancy的issue。
Others
- 文章中提到on-policy KD都是基于一个SFT的模型进行的,所以说对小的student model要做SFT,这一点和标准的RLHF是相同的。
- 提到了这个训练范式可以从RLHF转变成RLAIF,只需要把第一项的SKD转变成一个类似于reward的item项。
- 文章提到说对于KL的选择(forward/reverse/JSD)还是要task-dependant的,我猜测大概率就是要实验测试。
- 对于XSum的实验,teacher model的temperature也用的1.